Measuring DKK3 in Urine: A New Method to Study Chronic Kidney Disease Progression

Chronic kidney disease (CKD) is often described as a “silent” condition. In its early stages, structural damage can progress long before meaningful changes appear in conventional laboratory parameters. For researchers studying kidney injury and fibrosis, this creates a fundamental challenge: how do you detect and monitor progressive damage before significant functional decline is evident?

Emerging evidence suggests urinary Dickkopf-3 (DKK3) may help address this gap. By reflecting active tubular stress and fibrotic signaling, DKK3 provides insight into mechanisms driving CKD progression, making it a valuable biomarker in kidney research.

What is DKK3?

Dickkopf-3 (DKK3) is a glycoprotein that modulates the Wnt signaling pathway. The Wnt pathway plays a key role in embryonic development and is reactivated following organ injury. Experimental studies have shown that Wnt signaling is deeply involved in both acute and chronic kidney damage.¹

Temporary Wnt activation after injury can promote repair. However, sustained or dysregulated activation contributes to inflammation and fibrosis.²

Renal tubular cells under stress secrete DKK3, which is subsequently excreted in urine. Importantly, DKK3 is not detectable in the urine of individuals without kidney injury.⁷ This makes urinary DKK3 a direct reflection of ongoing tubular stress and profibrotic activity.

The Global Burden of Chronic Kidney Disease

CKD is a growing worldwide health concern. The World Health Organization projects CKD to become the 5th most prevalent chronic disease by 2040.³ More than 800 million individuals worldwide are affected.⁴

Progressive CKD is characterized by tubulo-interstitial fibrosis, or progressive scarring of kidney tissue.⁶ Historically, fibrosis assessment has relied on biopsy and histopathology, which provide only a snapshot in time. Meanwhile, serum creatinine and estimated glomerular filtration rate (eGFR) reflect functional status at the time of testing but offer limited insight into future progression.

For researchers, this underscores the need for biomarkers that reflect active injury and ongoing fibrotic signaling, rather than static function alone.

Why Measure DKK3 in Urine?

  1. DKK3 Reflects Active Tubular Stress

Tubular cells release DKK3 in response to acute or chronic injury. Its presence in urine signals ongoing kidney stress independent of the underlying cause.⁷

A bar graph from the Zewinger et al., 2018 study showing Urinary Dickkopf-3 (DKK3) is elevated in subjects with CKD.
Figure 1: (Zewinger et al., 2018) Urinary Dickkopf-3 (DKK3) is elevated in subjects with CKD. Distribution of urinary Dickkopf-3 (DKK3)-to-creatinine levels (on logarithmic scale) in the participants of the I LIKE HOMe Study cohort representing the general population (n=481) compared with patients with CKD from the CARE FOR HOMe Study cohort (n=575), with no relevant overlap between subjects from the general population and subjects with CKD. Urinary DKK3-to-creatinine levels were comparable in hypertensive subjects with CKD with (n=184) and without (n=202) diabetes and subjects with CKD of other etiology (n=189).

Because DKK3 is linked to profibrotic Wnt signaling, it provides mechanistic insight into the biological processes driving CKD progression.

  1. Urinary DKK3 Correlates with Fibrosis

Experimental and clinical models have demonstrated that urinary DKK3 levels correlate significantly with the extent of tubulo-interstitial fibrosis.²

Unlike biopsy, which captures a single time point, urinary DKK3 measurement enables longitudinal assessment of fibrotic activity in research settings.

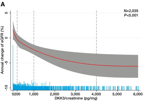
  1. DKK3 Predicts Short-Term Kidney Function Decline

In a landmark study of individuals with CKD stages 2–4 followed over eight years, urinary DKK3 was an independent and significant indicator of short-term loss of kidney function.⁷

  • Individuals with urinary DKK3 levels exceeding 4000 pg/mg creatinine experienced an average annual eGFR decline of nearly 8% per year.
  • The association remained significant even under anti-progression measures such as blood pressure control or RAS blockade.
A graph from the Zewinger et al., 2018 study showing how DKK3 predicted the risk of short-term eGFR loss in subjects with CKD.
Figure 2: (Zewinger et al., 2018) DKK3 predicts risk of short-term eGFR loss in subjects with CKD. Restricted cubic spline plots of the association between annual change of eGFR in percentage and urinary Dickkopf-3 (DKK3)-to-creatinine concentrations in participants of the CARE FOR HOMe Study in 1-year blocks with a total of 2035 subject-years available. The red line indicates the estimated change of eGFR with the respective 95% confidence interval (gray area). Dashed vertical lines indicate DKK3-to-creatinine levels used as cutoffs in subsequent analyses. Blue spikes show the distribution of urinary DKK3-to-creatinine concentrations. All analyses are adjusted for age, sex, body mass index, systolic blood pressure, diabetes, smoking status, eGFR, and log albuminuria.

These findings have been demonstrated in adults⁷ and in children with CKD.⁹

When combined with eGFR, urinary DKK3 provides a more comprehensive picture of progression dynamics.

DKK3 and the Future of CKD Research

CKD progression is driven by fibrosis. Biomarkers that reflect this underlying biology are essential for advancing research into:

  • Mechanisms of tubular injury
  • Fibrotic signaling pathways
  • Therapeutic response monitoring
  • Risk stratification models

 

Because urinary DKK3 reflects active Wnt-mediated injury signaling, it aligns closely with the pathophysiology researchers aim to understand. It adds biological context beyond functional measurements alone.

Bringing DKK3 Measurement into Your Research

The ReFiNE® DKK3 ELISA enables quantitative measurement of DKK3 in urine for laboratory research applications.

This assay supports investigators studying:

  • CKD progression mechanisms
  • Tubulo-interstitial fibrosis
  • Wnt signaling in kidney injury
  • Biomarker validation studies

 

Discover more about the ReFiNE® DKK3 ELISA and how it can support your kidney research.

From Silent Progression to Mechanistic Insight

CKD often advances quietly, with fibrosis developing long before substantial functional decline is apparent. Unfortunately, traditional markers only reflect what has already happened.

Urinary DKK3, however, offers a different perspective: it reflects active tubular stress and profibrotic signaling, providing insight into the biological processes that drive progression. By integrating DKK3 measurement into CKD research, investigators gain a dynamic view of kidney injury that complements functional metrics like eGFR.

As research continues to unravel the complexities of kidney disease progression, biomarkers such as DKK3 may move the field from retrospective assessment toward forward-looking mechanistic understanding.

Our Support Team Is Here to Help

If you are exploring tools to enhance your CKD research, we’re here to help! Contact our Support Team to discover more about the capabilities of the ReFiNE® DKK3 ELISA today.

The ReFiNE® DKK3 ELISA is for research use only. Not for use in diagnostic procedures. For laboratory professional use only.

No content on this site, regardless of date, should ever be used as a substitute for direct medical advice from your doctor or other qualified clinician.

References

  1. Gröne EF et al. (2017) The hormetic functions of Wnt pathways in tubular injury. Pflugers Arch 469(7-8):899-906. PMID: 28685176.
  2. Federico G et al. (2016) Tubular Dickkopf-3 promotes the development of renal atrophy and fibrosis. JCI Insight 1(1):e84916. PMID: 27699213.
  3. Borg R, Carlson N, Søndergaard J, Persson F. (2023) The Growing Challenge of Chronic Kidney Disease: An Overview of Current Knowledge. Int J Nephrol. 1(5):9609266. PMID: 36908289.
  4. Jager KJ et al. (2019) A single number for advocacy and communication-worldwide more than 850 million individuals have kidney diseases. Kidney Int. 96(5):1048-1050. PMID: 31582227.
  5. Ortiz A et al. (2014) Board of the EURECA-m Working Group of ERA-EDTA. Epidemiology, contributors to, and clinical trials of mortality risk in chronic kidney failure. Lancet 383(9931):1831-43. PMID: 24856028.
  6. Farris AB, Colvin RB. (2012) Renal interstitial fibrosis: mechanisms and evaluation. Curr Opin Nephrol Hypertens 21(3):289-300. PMID: 22449945.
  7. Zewinger S et al. (2018) Dickkopf-3 (DKK3) in Urine Identifies Patients with Short-Term Risk of eGFR Loss. J Am Soc Nephrol 29(11):2722-2733. PMID: 30279273.
  8. Schunk SJ et al. (2021) WNT-β-catenin signalling – a versatile player in kidney injury and repair. Nat Rev Nephrol 17(3):172-184. Epub 2020 Sep 28. PMID: 32989282.
  9. Speer T et al. (2023) Urinary DKK3 as a biomarker for short-term kidney function decline in children with chronic kidney disease: an observational cohort study. Lancet Child Adolesc Health 7(6):405-414. PMID: 37119829.
  10. Thurlow JS et al. (2021) Global Epidemiology of End-Stage Kidney Disease and Disparities in Kidney Replacement Therapy. Am J Nephrol 52(2):98-107. PMID: 33752206.

Share it!

Become an IDK Insider!

Generic selectors
Exact matches only
Search in title
Search in content
Post Type Selectors